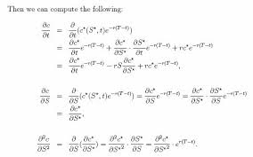
Published 03/01/2016 at 312 × 124 in Andre Gasiorowski: Oscillator vs. Black-Scholes formula ‹ Return to post Leave a Reply Cancel replyYour email address will not be published. Required fields are marked *Comment * Name Email Website Δ
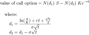
Published 03/01/2016 at 284 × 177 in Andre Gasiorowski: Oscillator vs. Black-Scholes formula ‹ Return to post Leave a Reply Cancel replyYour email address will not be published. Required fields are marked *Comment * Name Email Website Δ